Đề KSCL Toán 12 ôn thi TN THPT 2026 trường THPT Thiệu Hóa – Thanh Hóa (mã 1211)

Thí sinh đọc kỹ đề trước khi làm bài
Cài đặt đề thi
Thời gian làm bài

Vui lòng cài đặt đề thi trước khi làm bài

Câu 1
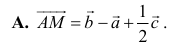
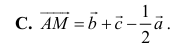
Câu 2 Cho hình lăng trụ $ABC.A'B'C'$, $M$ là trung điểm của $BB'$. Đặt $\overrightarrow{CA}=\vec{a}$, $\overrightarrow{CB}=\vec{b}$, $\overrightarrow{AA'}=\vec{c}$. Khẳng định nào sau đây đúng?
Câu 3
Câu 4
Câu 5
Câu 6
Câu 7
Câu 8
Câu 9
Câu 10
Câu 11
Câu 12
Câu 13
Câu 14
Câu 15
Câu 16
Câu 17
Câu 18
Câu 19
Câu 20
Câu 21
Câu 22
Câu 23
Câu 24
Câu 25
Câu 26
Câu 27
Câu 28
Câu 29
Câu 30
Câu 31
Câu 32 Hình bên mô tả một mặt cắt ngang của một tòa nhà cao tầng. Một chiếc thang từ xe cứu hỏa lên đến mặt tường phía trước của tòa nhà phải vượt qua phần mái che cao 10m so với mặt đất và vùng mái này nhô ra 12m so với tường. Giả sử, độ cao từ mặt sàn đặt thang của xe cứu hỏa là 1, 2 m , hãy tìm độ dài ngắn nhất của chiếc thang để các lính cứu hỏa có thể thực hiện nhiệm vụ này (làm tròn kết quả đến hàng phần mười)
Câu 33
Câu 34