Đề thi toán học kì 2 Đề 5
Cài đặt đề thi
Vui lòng cài đặt đề thi trước khi làm bài
Câu 1
Thương của 427 817 và 3 là:
Câu 2
Giá trị của chữ số 4 gấp số lần giá trị của chữ số 8 trong số 72 805 497:
Câu 3
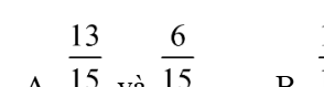
Quy đồng hai phân số 13/15 và 2/5, ta được hai phân số lần lượt là:
Câu 4
Hình vẽ nào dưới đây có
Câu 5
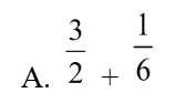
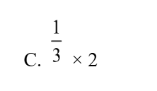
Trong các phép tính dưới đây, phép tính có kết quả nhỏ nhất là:
Câu 6
Trung bình sấy 4 yến chuối tươi thu được 10 kg chuối khô. Vậy nếu sấy 1 tạ chuối tươi thì thu được số ki-lô-gam chuối khô là:
Câu 7
Hình vẽ dưới đây có:
Câu 8
Hình vẽ nào dưới đây đã tô màu 1/4 hình?
Câu 9
Đặt tính rồi tính: 316 215 × 27
Câu 10
857108 : 13
Câu 11
16/18 + 2
Câu 12
Câu 13
3 - 6/30
Câu 14
8 : 4/7
Câu 15
5 tấn 2/5 tạ = .... kg
Câu 16
5 giờ 40 phút = ....phút
Câu 17
517 × 1 652 – 517 × 652
Câu 18
Câu 19
Quan sát biểu đồ sau và điền vào chỗ trống cho thích hợp:a) Có ……… người đến nhà sách trong 5 ngày nghỉ lễ.
Câu 20
b) Trung bình mỗi ngày có ……… người đến nhà sách.
Câu 21
Trung bình mỗi tuần gia đình Hoa ăn hết 6 kg 300 g gạo. Mẹ Hoa vừa mua 9 yến gạo. Hỏi số gạo đó đủ cho gia đình Hoa ăn trong bao nhiêu ngày?