Đề thi thử TN THPT 2026 lần 1 môn Toán trường THPT CG-TT-CG2 – Hải Phòng (mã 1011)

Thí sinh đọc kỹ đề trước khi làm bài
Cài đặt đề thi
Thời gian làm bài

Vui lòng cài đặt đề thi trước khi làm bài

Câu 1
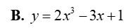
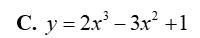
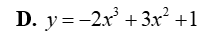
Câu 2 Đồ thị trong hình vẽ là của hàm số nào dưới đây?
Câu 3
Câu 4
Câu 5
Câu 6
Câu 7
Câu 8
Câu 9
Câu 10
Câu 11
Câu 12
Câu 13
Câu 14
Câu 15
Câu 16
Câu 17
Câu 18
Câu 19
Câu 20
Câu 21
Câu 22
Câu 23
Câu 24
Câu 25
Câu 26
Câu 27
Câu 28
Câu 29
Câu 30
Câu 31
Câu 32
Câu 33
Câu 34