ĐỀ THAM KHẢO THPTQG MÔN SINH HỌC 2025 - ĐỀ SỐ 9
Thí sinh vui lòng đọc kĩ đề thi
Cài đặt đề thi
Vui lòng cài đặt đề thi trước khi làm bài
Câu 1
Quan sát hình dưới và cho biết, chim hô hấp hiệu quả hơn thú là do
Câu 2
Dưới đây là sơ đồ quy luật di truyền ngoài nhân. Dựa vào thông tin trên sơ đồ hãy cho biết kết luận nào sau đây là đúng?
Câu 3
Sơ đồ sau minh họa cho cơ chế phát sinh đột biến cấu trúc nhiễm sắc thể.
Phát biểu nào sau đây là sai?
Câu 4
Trong số các biến đổi tiến hóa sau đây, biến đổi nào là sự kiện tiến hóa nhỏ?
Câu 5
Tảo đỏ nở hoa làm cho tôm, cua, cá chết. Đây là ví dụ về mối quan hệ sinh thái nào?
Câu 6
Biểu đồ hình dưới thể hiện đặc trưng cơ bản của một quần thể cá. Nhận xét nào sau đây được rút ra từ biểu đồ là đúng?
Câu 7
Cho biết các gene phân li độc lập, các alelle trội là trội hoàn toàn và không xảy ra đột biến. Theo lí thuyết, phép lai nào sau đây cho đời con có kiểu hình phân li theo tỉ lệ 1:1:1:1?
Câu 8
. Các trình tự một operon ở vi khuẩn E.coli nằm trong đoạn NST được kí hiệu từ A đến E. Để xác định các trình tụ̣ của operon này, người ta sử dụng 5 trường hợp đột biến mất đoạn như hình bên (các đường gạch chéo biểu hiện đoạn bị mất). Kết quả thu được trường hợp 4 và 5 có các gene cấu trúc luôn được phiên mã; trường hợp 2 và 3 có các gene cấu trúc luôn không được phiên mã; trường hợp 1 chưa xác định được mức biểu hiện của các gene cấu trúc trong operon. Trong các phát biểu sau, phát biểu nào về trình tự operon trên là đúng?
Câu 9
Alelle M bị đột biến điểm thành alelle m. Theo lí thuyết, alelle M và alelle m
Câu 10
Hình dưới đây mô tả khái quát các thành phần cấu trúc một gene ở sinh vật nhân thực. Thành phần cấu trúc nào chứa bộ ba kết thúc quá trình dịch mã?
Câu 11
Nguyên nhân gây ra ung thư là do tế bào
Câu 12
Rễ cây hấp thụ ion K+ cần phải tiêu tốn năng lượng ATP trong trường hợp nào dưới đây?
Câu 13
Hình dưới đây giải thích sự hình thành chủng vi khuẩn kháng kháng sinh theo học thuyết Darwin. Nhận định nào sau đây đúng?
Câu 14
Một cụ bà không may bị tai nạn giao thông khi băng qua đường. Do bị chấn thương ở đầu và mất nhiều máu, bác sĩ yêu cầu gia đình nạn nhân truyền máu gấp cho cụ bà. Được biết thông tin về nhóm máu của gia đình này qua phả hệ như sau, tuy nhiên có một số người trong gia đình vắng mặt, một số khác chưa rõ thông tin về nhóm máu. Hỏi trong gia đình nạn nhân nên đưa ai đi truyền máu cho cụ bà (số I.1 trong phả hệ) là thích hợp và nhanh nhất?
Câu 15
Để tạo giống lúa vàng (golden rice) giàu Beta-caroten góp phần cải thiện tình trạng thiếu vitamin A ở trẻ em, người ta cần chuyển gene X từ một loài thực vật vào cây lúa. Quy trình này sử dụng vi khuẩn Agrobacterium tumefaciens làm tế bào nhận trung gian để chuyển gene. Một trong những công đoạn rất quan trọng của quy trình này được biểu diễn trong hình dưới đây: Phát biểu nào sau đây đúng về các bước trong giai đoạn trên?
Câu 16
Bệnh tan máu bẩm sinh Thalassemia (Thal) do gene đột biến lặn (a) nằm trên nhiễm sắc thể thường gây nên. Người bị bệnh biểu hiện bệnh ở dạng hồng cầu bị phá hủy quá mức dẫn đến tình trạng thiếu máu ở nhiều mức độ. Theo thống kê được công bố trên Cổng thông tin điện tử của Bộ y tế năm 2019, bệnh Thal gặp ở tất cả các dân tộc khắp cả nước, tuy nhiên thường gặp ở các dân tộc thiểu số vùng cao, vùng xa, ít gặp ở người dân tộc Kinh. Cụ thể, tỉ lệ mắc bệnh: Nhóm 1: Người ở các dân tộc thiểu số vùng cao, vùng xa là từ 20% - 40% và có sự thay thổi qua các thế hệ. Nhóm 2: Người dân tộc Kinh là 9% và duy trì ổn định qua các thế hệ. Với giả thiết là cấu trúc di truyền ban đầu của các dân tộc đều giống nhau, và ở dân tộc Kinh thì việc kết hôn hoàn toàn ngẫu nhiên.
Câu 17
Theo thuyết tiến hóa tổng hợp hiện đại, phát biểu nào sau đây về tiến hóa nhỏ là không đúng?
Câu 18
Thức ăn của Voọc (Trachypithecus poliocephalus) chủ yếu là lá, quả cây rừng mọc trên các đảo. Tính đến 26/9/2023, số lượng Voọc tại đảo Cát Bà có 82 cá thể, sống rải rác trên các đảo đá vôi thuộc Vườn Quốc gia Cát Bà. Số liệu trên cho ta biết được đặc trưng nào của quần thể?
Câu 19
Khi nghiên cứu về hoạt động operon Lac ở ba chủng vi khuẩn E. coli, người ta thu được kết quả như Bảng dưới đây: (+: sản phẩm được tạo ra; -: sản phẩm không được tạo ra hoặc tạo ra không đáng kể) Từ kết quả thu được trong bảng trên, mỗi kết luận sau đây là Đúng hay Sai?
a) Chủng 1 có operon Lac hoạt động bình thường.
b) Có hai chủng bị lãng phí vật chất và năng lượng bởi phiên mã không kiểm soát.
c) Có thể vùng P của gene lacl ở chủng 3 đã bị mất hoạt tính.
d) Chủng 2 có thể đã bị đột biến trong các gene lacz, lacy, lacA khiến chúng tăng phiên mã.
Câu 20
Quá trình tiến hóa xảy ra ở hai quần thể chim được mô tả như hình dưới đây. Trong mỗi nhận định sau, nhận định nào Đúng, nhận định nào Sai?
a) Đại dương là nguyên nhân chính tạo nên sự khác biệt về vốn gen giữa các quần thể chim.
b) X là nhân tố tiến hóa đã tạo nên sự khác biệt vốn gen giữa quần thể chim Z và quần thể chim B.
c) Nếu đại dương gây ra sự trở ngại về mặc địa lí nhưng các cá thể chim Z vẫn có khả năng sinh sản với các cá thể chim B điều này chứng tỏ loài mới (loài chim Z) đã được hình thành.
d) Quá trình hình thành loài mới (loài chim Z) thường xảy ra một cách chậm chạp, qua nhiều dạng trung gian chuyển tiếp.
Câu 21
Phần thịt của một số loại quả như lê, táo tây có một số hợp chất phenol (hợp chất chứa vòng phenyl có nhóm –OH) và enzyme phenol oxidase có khả năng xúc tác phản ứng: Hợp chất phenol + O2 ⟶ quinone + H2O Sau khi được tạo thành, hợp chất quinone (không màu) được chuyển hóa thành polymer màu nâu. Để giữ màu sắc tươi của lê, táo, khi chế biến, người ta thường ngâm các miếng cắt trong nước muối loãng hoặc trộn với mayonaise (có thành phần trứng, giấm) làm salad. Mỗi phát biểu dưới đây là Đúng hay Sai?
a) Ngâm miếng lê, táo trong nước muối loãng hạn chế sự tiếp xúc của enzyme phenol oxidase với cơ chất.
b) Miếng lê, táo trong salad với mayonaise có màu nâu do môi trường phù hợp với hoạt động của enzyme phenol oxidase.
c) Nếu dùng màng bọc thực phẩm để bọc kín miếng lê, táo sẽ hạn chế sự xuất hiện màu nâu ở miếng lê, táo.
d) Nếu ngâm miếng lê, táo trong dung dịch đường sucrose 10% thì miếng lê, táo không chuyển sang màu nâu nhưng bị giảm kích thước.
Câu 22
Cá mòi có kích thước khá nhỏ và thuộc bộ cá dầu nhỏ trong họ cá trích. Chúng có nhiều loại và mỗi loại lại có môi trường sống khác nhau, kéo theo đó các loại cá mòi cũng khác nhau về hàm lượng dinh dưỡng. Môi trường sống của chúng khá rộng khi mà chúng có thể sống ở nước mặn, nước ngọt hay nước lợ. Khi nghiên cứu một loài cá mòi, người ta đã vẽ được biểu đồ phân bố nhóm tuổi như hình dưới đây. Biết loài cá này có tập tính di cư để sinh sản. Theo lý thuyết, Mỗi kết luận sau là Đúng hay Sai?
a) Ở các lứa tuổi đều thích nghi với độ mặn như nhau.
b) Giai đoạn non cá mòi sống ở cửa sông.
c) Lúc 4 tuổi, cá mòi quay lại cửa sông để sinh sản.
d) Ở biển, giai đoạn 2 tuổi chiếm tỉ lệ lớn nhất.
Câu 23
Giả sử năng lượng đồng hóa của các sinh vật dị dưỡng trong một chuỗi thức ăn như sau: Sinh vật tiêu thụ bậc 1: 1100000 Kcal Sinh vật tiêu thụ bậc 2: 165000 Kcal Sinh vật tiêu thụ bậc 3: 13200 Kcal Sinh vật tiêu thụ bậc 4: 924 Kcal Hiệu suất sinh thái giữa bậc dinh dưỡng cấp 3 với bậc dinh dưỡng cấp 2 trong chuỗi thức ăn trên? (tính làm tròn đến 2 chữ số sau dấu phẩy).
Câu 24
Một loài thực vật, xét 3 cặp gene nằm trên 2 cặp nhiễm sắc thể; mỗi gcn quy định một tính trạng, mỗi gene đều có 2 alelle và các alelle trội là trội hoàn toàn. Cho hai cây đều có kiểu hình trội về cả 3 tính trạng (P) giao phối với nhau, thu được F1 có 1% sổ cây mang kiểu hỉnh lặn về cả 3 tính trạng. Cho biểt không xảy ra đột biển nhưng xảy ra hoán vị gene ở cả quá trình phát sinh giao tử đực vả giao tử cái với tần số bằng nhau. Theo lí thuyết, ở F1, số cây mang kiểu hình trội về 1 trong 3 tính trạng chiếm bao nhiêu phần trăm? (tính làm tròn đến 2 chữ số sau dấu phẩy).
Câu 25
Ở thực vật, (A) quy định hoa đỏ trội hoàn toàn so với (a) quy định hoa trắng; (B) quy định quả tròn trội hoàn toàn so với (b) quy định quả dài, (D) quy định quả chín ngọt trội hoàn toàn so với d quy định quả chua. P: (2n + 1) AaabbDd x (2n + 1) AaaBbdd. Quá trình giảm phân diễn ra bình thường. Trong số cây 3 nhiễm thì số cây đỏ, dài chiếm bao nhiêu phần trăm? (tính làm tròn đến 2 chữ số sau dấu phẩy).
Câu 26
Ở một loài thực vật tự thụ phấn allele A quy định hoa đó trội hoàn toàn so với allele a quy định hoa trắng. Một quần thể thuộc loài này ở thế hệ xuất phát (P), số cây có kiểu gene dị hợp tử chiếm tỉ lệ 80%. Cho biết quần thể không chịu tác động của các nhân tố tiến hóa khác. Ở F5 có tỉ lệ cây hoa trắng tăng bao nhiêu phần trăm so với tỉ lệ cây hoa trắng ở (P)? Hãy thể hiện kết quả bằng số thập phân và làm tròn đến 2 chữ số sau dấu phẩy.
Câu 27
Một quần thể ngẫu phối, ở thế hệ xuất phát có thành phần kiểu gen là 0,36BB + 0,48Bb + 0,16bb = 1. Khi trong quần thể này, các cá thể có kiểu gen dị hợp có sức sống và khả năng sinh sản cao hơn hẳn so với các cá thể có kiểu gen đồng hợp thì. Theo giả thuyết, tần số alen trội hoặc tần số alen lặn có xu hướng bao nhiêu phần trăm? (tính làm tròn đến 2 chữ số sau dấu phẩy).
Câu 28
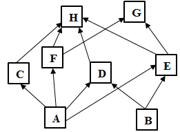
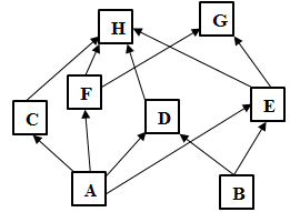
Cho lưới thức ăn của một quần xã sinh vật như hình bên. Biết rằng A và B là sinh vật sản xuất, các mắt xích còn lại đều là sinh vật tiêu thụ. Theo lí thuyết, nếu loài A bị tiêu diệt thì có ít nhất mấy loài sẽ không còn tồn tại?