ĐỀ THAM KHẢO THPTQG MÔN SINH HỌC 2025 - ĐỀ SỐ 31

Thí sinh vui lòng đọc kĩ đề thi
Cài đặt đề thi
Thời gian làm bài

Vui lòng cài đặt đề thi trước khi làm bài

Câu 1 Protein nào sau đây giúp vận chuyển oxygen trong máu ở động vật?
Câu 2 Biện pháp nào sau đây giúp phát hiện sớm các bất thường nhiễm sắc thể ở thai nhi?
Câu 3 Biện pháp nào giúp cây trồng giảm thoát hơi nước trong điều kiện nắng nóng?
Câu 4 Động lực chính của dòng mạch rây là gì?
Câu 5 Dùng thông tin sau để trả lời câu 5 và câu 6: Hình 1 thể hiện cây phát sinh chủng loại của năm nhóm sinh vật từ một tổ tiên chung. Câu 5: Cây phát sinh chủng loại thể hiện điều gì?
Câu 6 Nhóm sinh vật nào sau đây xuất hiện sớm nhất?
Câu 7 Tại sao các cơ quan tương đồng giữa các loài lại có cấu tạo chi tiết khác nhau?
Câu 8 Yếu tố nào sau đây dẫn đến sự hình thành đặc điểm thích nghi ở cơ thể sinh vật?
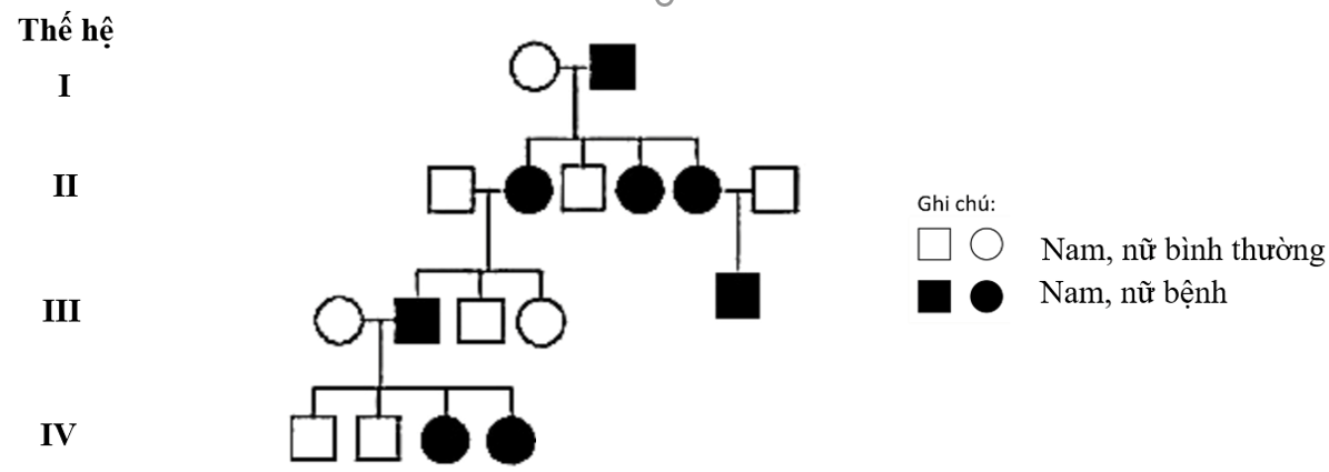
Câu 9 Phả hệ dưới đây biểu thị sự di truyền của một loại bệnh đục thủy tinh thể trong một gia đình. Bệnh này do một gene nằm trên nhiễm sắc thể X quy định. Có bao nhiêu người trong phả hệ chắc chắc không mang allele bệnh?
Câu 10 Hình 2 minh họa quá trình lai xa và đa bội hóa, một cơ chế quan trọng trong di truyền và tiến hóa. Hình 2 Quá trình đa bội hóa trên giúp giải quyết vấn đề gì?
Câu 11 Trong ao nuôi thủy sản, việc tảo phát triển quá mức dẫn đến cái chết của tôm, cua thuộc loại quan hệ nào?
Câu 12 Trong nông nghiệp, đất đai bạc màu và thiếu dinh dưỡng là một vấn đề lớn đối với năng suất cây trồng. Để cải thiện chất lượng đất mà không sử dụng quá nhiều phân bón hóa học, người nông dân có thể áp dụng mối quan hệ cộng sinh để cải thiện môi trường đất bằng cách nào?
Câu 13 Trong lĩnh vực công nghệ sinh học, việc sản xuất insulin nhân tạo là một bước đột phá quan trọng trong y học, đặc biệt trong điều trị bệnh tiểu đường. Hình 3 minh họa kỹ thuật tạo DNA tái tổ hợp, trong đó gen mã hóa insulin của con người được chèn vào plasmid của vi khuẩn để sản xuất insulin nhân tạo với số lượng lớn. Hình 3 Xác định enzyme A và B và vai trò của mỗi enzyme?
Câu 14 Ở người, cùng với hệ nhóm máu ABO, hệ nhóm máu Rhesus (Rh). Gene quy định nhóm máu Rh có 2 allele R và r, nằm trên NST thường. Nhóm máu Rh có vai trò đặc biệt quan trọng trong sản khoa, đặc biệt khi xảy ra tình trạng bất đồng nhóm máu Rh giữa mẹ và thai nhi. Nếu người mẹ có nhóm máu Rh(-) và thai nhi có nhóm máu Rh(+), máu của thai nhi sẽ kích hoạt phản ứng miễn dịch ở mẹ. Cơ thể mẹ nhận diện hồng cầu Rh(+) của thai nhi là "kháng nguyên lạ" và sản sinh ra kháng thể anti-D Immunoglobulin (anti-D). Trong lần mang thai đầu tiên, lượng kháng thể anti-D thường không đủ để gây nguy hiểm ngay lập tức. Tuy nhiên, các kháng thể này sẽ được lưu trữ trong cơ thể mẹ và trở thành "bộ nhớ miễn dịch". Trong lần mang thai sau, nếu thai nhi tiếp tục có nhóm máu Rh(+), các kháng thể anti-D từ mẹ sẽ đi qua nhau thai, tấn công và phá hủy hồng cầu của thai nhi, dẫn đến các biến chứng nghiêm trọng như: Thiếu máu thai nhi, sảy thai hoặc thai lưu, vàng da và tán huyết nặng ở trẻ sơ sinh. Để ngăn chặn điều này, phụ nữ mang nhóm máu Rh(-) thường được tiêm dự phòng anti-D, giúp ngăn cản cơ thể mẹ tạo ra kháng thể chống lại hồng cầu Rh(+) của thai nhi. Một phụ nữ Rh(-) đang mang thai và chồng cô ấy có nhóm máu Rh(+). Thai nhi có nguy cơ bị ảnh hưởng trong trường hợp nào sau đây?
Câu 15 CRISPR-Cas9 là một công nghệ chỉnh sửa gene mang tính cách mạng, lấy cảm hứng từ hệ thống miễn dịch tự nhiên của vi khuẩn, giúp chúng loại bỏ DNA của virus xâm nhập. CRISPR hoạt động như một bộ lưu trữ thông tin gene của virus, còn Cas9 là một enzyme cắt giới hạn, có khả năng cắt chính xác DNA tại vị trí xác định. Công nghệ này có thể giúp điều trị bệnh di truyền như xơ nang, thiếu máu hồng cầu hình liềm, loại bỏ gene gây ung thư trong tế bào. CRISPR-Cas9 thuộc phương pháp nào sau đây?
Câu 16 Sắp xếp các bước sau đây theo đúng trình tự thực hiện trong thí nghiệm quan sát NST trên tiêu bản cố định: 1. Chuyển sang vật kính 40x để phóng đại cao hơn. 2. Đặt tiêu bản lên kính hiển vi. 3. Điều chỉnh vị trí tiêu bản để quan sát rõ mẫu. 4. Tìm tế bào có bộ nhiễm sắc thể dễ quan sát nhất với vật kính 10x. 5. Quan sát, đếm số lượng, quan sát cấu trúc NST trong tiêu bản.
Câu 17 Cho chuỗi thức ăn: Cây → Côn trùng nhỏ → Chim nhỏ → Chim săn mồi. Tháp số lượng nào sau đây phù hợp cho chuỗi thức ăn này?
Câu 18 Khi lai hai hai cây lúa mì thuần chủng hạt đỏ thẫm với lúa mì thuần chủng hạt trắng. Ở F1 thu được toàn cây hạt đỏ nhạt. Khi cho F1 giao phấn với nhau thu được F2 có tỉ lệ kiểu hình: 1 cây hạt đỏ thẫm : 4 cây hạt đỏ : 6 cây hạt đỏ nhạt : 4 cây hạt hồng : 1 cây hạt trắng.
a) Quy luật di truyền chi phối tính trạng màu sắc hạt là tương tác cộng gộp.
b) Trong quần thể cây lúa mì ngẫu phối có tối đa 6 loại kiểu gene.
c) Có tối đa 3 mức độ biểu hiện kiểu hình đỏ ở quần thể F2.
d) Trong tổng số cây F2, tỷ lệ kiểu hình có ít nhất một alen trội là 14/16.
Câu 19 Hình dưới đây minh họa một hệ sinh thái tự nhiên bao gồm: Cấu trúc lưới thức ăn (Hình a): Cho thấy sự phụ thuộc lẫn nhau giữa các sinh vật trong hệ sinh thái, sự biến động số lượng cá thể của 2 quần thể (Hình b), tháp năng lượng của hệ sinh thái (Hình c).
a) Cóc là sinh vật tiêu thụ bậc 1 và thuộc bậc dinh dưỡng Z.
b) Quần thể B có thể là cóc, sói, diều hâu.
c) Năng lượng giảm dần ở các bậc dinh dưỡng theo thứ tự Z>Y>X.
d) Nếu sói biến mất, thỏ và nai có thể tăng mạnh nên dẫn đến sự điều chỉnh năng lượng từ thực vật để duy trì sự ổn định trong hệ sinh thái.
Câu 20 Thí nghiệm sau đây được thực hiện để nghiên cứu quá trình hô hấp của hạt nảy mầm và tác động của quá trình này đến lượng O₂ trong môi trường kín, các bước thí nghiệm như sau: Bước 1: Xác định vật liệu, phương pháp tiến hành, bố trí thí nghiệm và dự kiến kết quả. Bước 2: Chuẩn bị hai bình thí nghiệm: Bình a: Chứa hạt nảy mầm. Bình b: Chứa hạt đã chết (được xử lý bằng nước sôi để loại bỏ khả năng hô hấp, dùng làm đối chứng). Bước 3: Cố định một ngọn nến nhỏ bằng dây kim loại trong mỗi bình, thắp sáng nến và sau đó đậy kín nắp bình để tạo môi trường kín trong. Bước 4: Sau 2 giờ lần lượt mở nút của các bình và đưa nến đang cháy vào mỗi bình. Kết quả thí nghiệm được thể hiện ở Hình 4. Quan sát và ghi nhận hiện tượng: Ở bình a (hạt nảy mầm): Theo dõi thời gian nến tắt, ở bình b (hạt đã chết): Theo dõi hiện tượng nến tiếp tục cháy. Bước 5: So sánh thời gian duy trì sự cháy của nến giữa hai bình.
a) Trong báo cáo thí nghiệm có thể trình bày những nội dung: Mục tiêu thí nghiệm, phương pháp tiến hành, kết luận về sự tiêu thụ O₂ trong quá trình hô hấp của hạt nảy mầm, có thể bỏ qua việc quan sát được hiện tượng xảy ra ở mỗi bình.
b) Thí nghiệm chứng minh quá trình hô hấp ở thực vật đã tiêu thụ O₂ và ảnh hưởng đến sự cháy của ngọn nến.
c) Hạt nảy mầm trong bình a thực hiện quá trình hô hấp, tiêu thụ O₂, làm nồng độ oxy trong bình giảm dần theo thời gian.
d) Hoạt động hô hấp ở các hạt nảy mầm trong bình b đã giải phóng O₂ nên nến tiếp tục cháy.
Câu 21 Operon M ở một chủng vi khuẩn mã hóa 3 enzyme là E1, E2 và E3; Có 5 trình tự A, B, C, D và G chưa biết rõ chức năng. Operon này được điều hòa bởi chất X. Để làm sáng tỏ chức năng của các trình tự, người ta đã theo dõi sự ảnh hưởng của đột biến ở các trình tự từ A đến G dựa trên sự tổng hợp các enzyme được đánh giá thông qua sự có mặt và sự vắng mặt của chất X (Bảng 1).
a) Ở trạng thái không đột biến và vắng mặt chất X, cả ba enzyme (E1, E2, E3) được tổng hợp ở mức độ cực đại.
b) Chất X là yếu tố ức chế hoạt động phiên mã của operon M.
c) Trình tự A là vùng liên kết đặc hiệu của chất X, có vai trò kiểm soát hoạt động của operon. Trình tự G là vùng khởi động P.
d) Các trình tự tổng hợp enzyme E1, E2, E3 lần lượt là gene B, C, D.
Câu 22 Quần đảo Galápagos là nơi sinh sống của nhiều loài chim sẻ, được biết đến như một ví dụ kinh điển minh họa cho quá trình tiến hóa và hình thành quần thể thích nghi. Các loài chim sẻ trên quần đảo này đã phát triển các kiểu mỏ khác nhau để thích nghi với nguồn thức ăn đa dạng, như ăn hạt lớn, hạt nhỏ, hoặc côn trùng (Hình 5). Quá trình này diễn ra qua nhiều thế hệ, dưới tác động của chọn lọc tự nhiên, dẫn đến sự hình thành các quần thể có kiểu gen và hình thái thích nghi với môi trường sống riêng biệt. Cho các sự kiện sau đây: 1. Thông qua quá trình sinh sản, các biến dị di truyền được phát tán trong quần thể. 2. Trong quần thể chim sẻ ban đầu, các đột biến phát sinh ngẫu nhiên ở các cá thể dẫn đến sự xuất hiện các kiểu mỏ khác nhau. 3. Sau nhiều thế hệ, hình thành các quần thể chim sẻ với các kiểu mỏ thích nghi hoàn toàn với nguồn thức ăn đặc thù ở từng khu vực. 4. Ở những khu vực có nguồn thức ăn khác nhau, các cá thể không phù hợp với loại thức ăn trong môi trường sẽ bị chọn lọc tự nhiên đào thải, các cá thể có kiểu mỏ phù hợp với nguồn thức ăn được chọn lọc tự nhiên duy trì và nhân rộng. Hãy viết liền các số tương ứng với bốn sự kiện theo trình tự của quá trình hình thành quần thể thích nghi của chim sẻ ở quần đảo Galapagos với các kiểu mỏ khác nhau.
Câu 23 Ở loài ong mật (Apis mellifera), ong cái có bộ nhiễm sắc thể 2n, ong đực có bộ nhiễm sắc thể 1n. Xét các trường hợp không có đột biến mới. Phép lai giữa một ong chúa (ong cái) và một ong đực (thế hệ P) thu được thế hệ con F1. Chọn ngẫu nhiên một con đực F1 thì tỉ lệ khác nhau về nguồn gốc bộ NST so với con ong đực thế hệ P là bao nhiêu phần trăm?
Câu 24 Hình 6 thể hiện sự tăng trưởng của quần thể sói đồng cỏ trong một khu vực hoang dã. Hình 6 Cho các nhân tố sau: 1. Cạn kiệt nguồn thức ăn. 2. Môi trường sống thuận lợi. 3. Bệnh dịch. 4. Sự săn bắt của con người. Hãy viết liền các nhân tố (từ nhỏ đến lớn) có khả năng chi phối sự biến động số lượng cá thể trong quần thể sói tại điểm X.
Câu 25 Lai hai cây hoa màu trắng thuần chủng với nhau, thu được F1 gồm toàn cây hoa màu đỏ. Cho F1 giao phấn với nhau thu được F2 gồm 56,25% cây hoa đỏ; 43,75% cây hoa trắng. Nếu cho cây hoa đỏ F1 lần lượt giao phấn với từng cây hoa đỏ thì ở đời con có tối đa bao nhiêu phép lai cho đời con phân tính?
Câu 26 Hình 8 là lưới thức ăn ở một hệ sinh thái biển. Biết rằng, sản lượng của thực vật là 210 kcal/m²/năm. Nếu hiệu suất sinh thái giữa phần sản lượng của sinh vật tiêu thụ với sản lượng của mỗi loài thức ăn tương ứng đều là 10%, thì sản lượng của cáo là bao nhiêu? (tính làm tròn đến 2 chữ số sau dấu phẩy). Hình 8 Có bao nhiêu mối quan hệ tiêu thụ trực tiếp trong lưới thức ăn trên?
Câu 27 Giả sử năng lượng đồng hoá của các sinh vật dị dưỡng trong một chuỗi thức ăn như sau: Hiệu suất sinh thái giữa bậc dinh dưỡng cấp 3 với bậc dinh dưỡng cấp 2 là bao nhiêu phần trăm (tính làm tròn đến 2 chữ số sau dấu phẩy)?