ĐỀ KIỂM TRA CUỐI HỌC KÌ II MÔN TOÁN LỚP 9 BỘ SÁCH KẾT NỐI TRI THỨC ĐỀ SỐ 03

Cài đặt đề thi
Thời gian làm bài

Vui lòng cài đặt đề thi trước khi làm bài

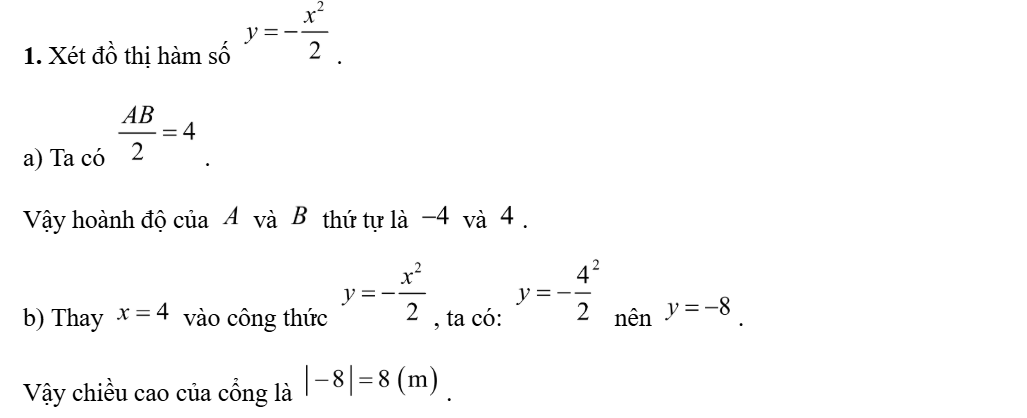
Câu 1
Câu 2
Câu 3 Kết quả nhảy xa của một lớp (đơn vị mét) được cho trong bảng sau: a) Để thu gọn bảng dữ liệu trên thì nên chọn bảng tần số ghép nhóm hay tấn số không ghép nhóm? Vì sao?
Câu 4 b) Hãy lập bảng số liệu làm 5 nhóm trong đó nhóm cuối cùng cự li là từ 4,0 đến dưới 4,5 m. Lập bảng tần số và tần số tương đối ghép nhóm.
Câu 5 Có hai túi I và II, mỗi túi chứa 4 tấm thẻ được đánh số 1; 2; 3; 4. Rút ngẫu nhiên từ mỗi túi ra một tấm thẻ và nhân hai số ghi trên tấm thẻ với nhau. a) Tính số phần tử của không gian mẫu
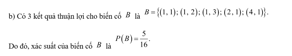
Câu 6 b) Tính xác suất của các biến cố sau: A: “Kết quả là một số lẻ”. B: “Kết quả là 1 hoặc một số nguyên tố”.
Câu 7
Câu 8