Đề khảo sát chất lượng Toán 12 đợt 1 năm 2025 – 2026 sở GD&ĐT Phú Thọ (mã đề 1008)

Thí sinh đọc kỹ đề trước khi làm bài
Cài đặt đề thi
Thời gian làm bài

Vui lòng cài đặt đề thi trước khi làm bài

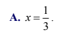
Câu 1
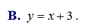
Câu 2
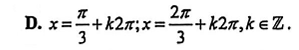
Câu 3
Câu 4
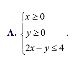
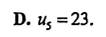
Câu 5 Miền không bị gạch chéo trong hình vẽ (kể cả bờ) là miền nghiệm của hệ bất phương trình nào dưới đây?
Câu 6
Câu 7
Câu 8
Câu 9 Trong không gian Oxyz, điểm A' đối xứng với điểm A(2; -3;1) qua mặt phẳng Oxz có tọa độ là
Câu 10 Thời gian truy cập Internet mỗi buổi tối của một nhóm học sinh được thống kê trong bảng sau:
Câu 11
Câu 12 Cho lăng trụ đều $ABC.A'B'C'$ có $AA' = 3a, AB = a$. Khi đó, cosin của góc giữa hai vectơ $\overrightarrow{AB'}$ và $\overrightarrow{A'C}$ bằng
Câu 13
Câu 14
Câu 15
Câu 16
Câu 17
Câu 18
Câu 19
Câu 20
Cho hình chóp đều $S.ABCD$ có $SA = AB = 4\sqrt{2}$. Gọi $M$ là trung điểm của $AB$, $G$ là trọng tâm tam giác $SAB$.
Câu 21
Câu 22
Câu 23
Câu 24
Tại một khu bảo tồn thiên nhiên các nhà khoa học đã thả một số cá thể của một loài động vật quý hiếm trong một khu rừng rộng 10 hecta và theo dõi sự tăng trưởng số lượng của chúng. Họ thấy rằng số lượng cá thể của loài động vật đó sau $t$ năm kể từ khi nuôi tại khu bảo tồn được xấp xỉ bởi hàm số $h(t) = 70\log_2\left(\frac{8t+1}{t+1}\right) + 30$ (cá thể, $t$ là số thực dương) và tốc độ tăng trưởng số lượng cá thể của loài động vật đó tại thời điểm sau đúng $t$ năm kể từ khi nuôi được xấp xỉ bởi hàm số $h'(t)$ (đơn vị: cá thể/năm).
Câu 25 a) Thời điểm ban đầu, người ta thả nuôi 30 cá thể.
Câu 26 b) Sau 9 tháng kể từ khi bắt đầu nuôi, số lượng cá thể của loài động vật đó là 170.
Câu 27 c) Tốc độ tăng trưởng số lượng cá thể của loài động vật đó tại thời điểm đúng 6 năm kể từ khi nuôi là $\frac{10}{7}$ (cá thể/năm).
Câu 28 d) Số lượng cá thể của loài động vật đó không vượt quá 240.
Câu 29 Cho hình chóp $S.ABCD$ có đáy $ABCD$ là hình chữ nhật tâm $O$ với $AB=6, AD=8$. Biết $SO$ vuông góc với mặt phẳng $(ABCD)$ và $SA$ tạo với mặt phẳng $(ABCD)$ một góc $45^\circ$. Gọi $M$ là trung điểm của $SA$. Biết khoảng cách giữa hai đường thẳng $SC$ và $DM$ bằng $\frac{120}{\sqrt{n}}$, giá trị của $n$ bằng bao nhiêu?
Câu 30 Cho đa giác đều 36 đỉnh $A_1, A_2, \dots, A_{36}$ nội tiếp đường tròn tâm $O$. Chọn ngẫu nhiên 3 đỉnh trong số các đỉnh $A_1, A_2, \dots, A_{36}$ của đa giác đã cho, biết xác suất để chọn được ba đỉnh tạo thành một tam giác có một góc bằng $120^\circ$ là $P$. Giá trị biểu thức $595P$ bằng bao nhiêu?
Câu 31 Cho hình chóp $S.ABC$, biết $SA$ vuông góc với mặt phẳng $(ABC)$ và $SA=2\sqrt{3}$. Tam giác $ABC$ vuông tại $B$ với $AB=6, BC=8$. Gọi $M$ là trung điểm của $BC$. Giá trị của $|\overrightarrow{SA} + \overrightarrow{SB} + \overrightarrow{SC} + \overrightarrow{AM}| + \overrightarrow{SM} \cdot \overrightarrow{AB}$ bằng bao nhiêu?
Câu 32 Bác An có một cửa hàng chuyên bán buôn bưởi Đoan Hùng, bác nhận thấy rằng: Nếu bán mỗi kilôgam bưởi với giá 30 nghìn đồng thì mỗi tuần có 60 đơn hàng và mỗi đơn hàng mua 100 kilôgam. Nếu cứ tăng giá mỗi kilôgam bưởi thêm 2 nghìn đồng thì hàng tuần số đơn hàng giảm 4 đơn, đồng thời số lượng bưởi mà mỗi đơn hàng đặt mua cũng giảm đi 2 kilôgam. Hỏi bác cần bán mỗi kilôgam bưởi với giá bao nhiêu nghìn đồng để lợi nhuận hàng tuần thu được là lớn nhất, biết giá nhập mỗi kilôgam bưởi là 24 nghìn đồng và giá bán không vượt quá 50 nghìn đồng/1kilôgam. (Kết quả làm tròn đến hàng đơn vị).
Câu 33 Huyết áp là áp lực của máu tác động lên thành động mạch khi tim bơm máu vào động mạch. Giả sử trong một giai đoạn vận động thể thao, huyết áp của một người thay đổi theo thời gian được cho bởi hàm số $p(t) = 100 + 20\cos(120\pi t)$, trong đó $p(t)$ là huyết áp tính theo đơn vị mmHg phụ thuộc vào thời gian $t$ tính theo phút. Trong 10 phút tính từ thời điểm ban đầu khi $t=0$, có bao nhiêu lần huyết áp của người này đạt mức 90 mmHg?
Câu 34 Cho hình lăng trụ $ABC.A'B'C'$ có $A'A = A'B = A'C$, cạnh bên $AA' = 4$, đáy $ABC$ là tam giác đều. Biết mặt phẳng $(BCC'B')$ tạo với mặt phẳng $(ABC)$ một góc $60^\circ$. Thể tích của khối lăng trụ đã cho bằng bao nhiêu?