Đề thi thử TN THPT 2026 môn Toán lần 1 trường chuyên ĐH Vinh – Nghệ An (mã 0135)

Thí sinh đọc kỹ đề trước khi làm bài
Cài đặt đề thi
Thời gian làm bài

Vui lòng cài đặt đề thi trước khi làm bài

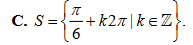
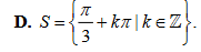
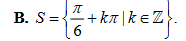
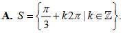
Câu 1 Họ các nguyên hàm của hàm số f(x)= 2sinx + 1 trên R là
Câu 2
Câu 3
Câu 4
Câu 5
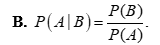
Câu 6 Cho P(A), P(B) >0. Công thức xác suất có điều kiện của biến cố A khi biết biến cố B đã xảy ra là
Câu 7
Câu 8
Câu 9
Câu 10
Câu 11
Câu 12
Câu 13
Câu 14
Câu 15
Câu 16
Nhân dịp năm mới, cô giáo chuẩn bị 40 bao lì xì may mắn gồm ba loại: loại I có 12 bao, mỗi bao chứa 50 nghìn đồng; loại II có 10 bao, mỗi bao chứa 20 nghìn đồng; loại III là các bao còn lại, mỗi bao chứa 10 nghìn đồng. Ba học sinh An, Bình, Chi theo thứ tự lần lượt lên bốc thăm, mỗi người chỉ bốc đúng một bao lì xì và không hoàn lại. Biết các kết quả tính xác suất được làm tròn đến hàng phần trăm.
Câu 17 a) Xác suất An bốc được bao lì xì 10 nghìn đồng là 0,45.
Câu 18 b) Xác suất Bình bốc được bao lì xì 10 nghìn đồng là 0,45.
Câu 19 c) Biết Bình bốc được bao lì xì 10 nghìn đồng, xác suất để An bốc được bao lì xì 10 nghìn đồng là 0,44.
Câu 20 d) Xác suất để có ít nhất một bạn bốc được bao lì xì 10 nghìn đồng là 0,84.
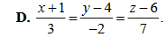
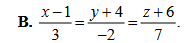
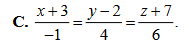
Câu 21 a) Điểm A(1;2) thuộc (S)
Câu 22 b) (S) là một miền tam giác.
Câu 23
Câu 24 d) Giá trị lớn nhất của biểu thức P= x+2y trên miền (S) bằng 7.
Câu 25
Câu 26
Câu 27
Câu 28
Câu 29 Có hai chuồng A và B Chuồng A ban đầu có 9 con dê trắng và 8 con dê đen. Chuồng B ban đầu có 5 con dê trắng và 6 con dê đen. Các con dê được xem như nhau về kích thước và khả năng bị chọn. Người ta bắt ngẫu nhiên đồng thời 3 con dê từ chuồng A chuyển sang chuồng B. Sau đó, từ chuồng B bắt ngẫu nhiên 2 con dê ra kiểm tra. Biết rằng cả 2 con dê bắt ra đều là dê trắng. Hỏi xác suất để cả 2 con dê trắng đó đều là dê chuyển từ chuồng A sang là bao nhiêu phần trăm? (kết quả làm tròn đến 2 chữ số ở phần thập phân).
Câu 30
Câu 31
Câu 32 Xét một đa giác đều có 60 đỉnh. Có bao nhiêu đa giác đều có các đỉnh là một trong các đỉnh của đa giác đều đã cho?
Câu 33
Câu 34