ĐỀ KIỂM TRA HỌC KỲ 2 MÔN TOÁN – BỘ KẾT NỐI TRI THỨC ĐỀ 02

Cài đặt đề thi
Thời gian làm bài

Vui lòng cài đặt đề thi trước khi làm bài

Câu 1 Hình bình hành có mấy cặp cạnh đối diện song song và bằng nhau?
Câu 2 Trong các đơn vị m2, dm2, mm2, cm2 đơn vị nào bé nhất?
Câu 3 Giá trị của chữ số 7 trong số 1 478 164 là:
Câu 4 Kết quả của phép tính 2 548 × 100 là:
Câu 5 Giá trị biểu thức (m + 45) × n với m = 485 và n = 12 là:
Câu 6 Xe thứ nhất chở 5 tấn gạo. Xe thứ hai chở số gạo bằng 1/ xe thứ nhất. Xe thứ ba chở số gạo bằng 3/4 xe thứ hai. Vậy trung bình mỗi xe chở số ki-lô-gam gạo là:
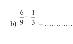
Câu 7 Tính:
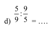
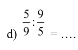
Câu 8
Câu 9
Câu 10
Câu 11
Câu 12
Câu 13
Câu 14
Câu 15 Một hình chữ nhật có chiều dài bằng 48 cm. Chiều rộng bằng 2/ chiều dài. Hỏi diện tích của mảnh vườn đó bằng bao nhiêu?
Câu 16 Hình trên có ………. hình chữ nhật