ĐỀ KIỂM TRA CUỐI HỌC KÌ 2 MÔN TOÁN LỚP 9 BỘ SÁCH CHÂN TRỜI SÁNG TẠO ĐỀ SỐ 02

Cài đặt đề thi
Thời gian làm bài

Vui lòng cài đặt đề thi trước khi làm bài

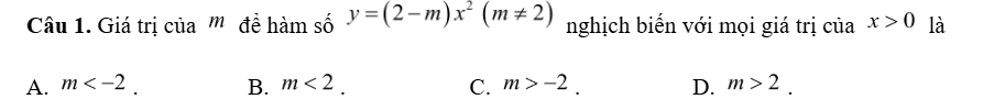
Câu 1
Câu 2
Câu 3
Câu 4
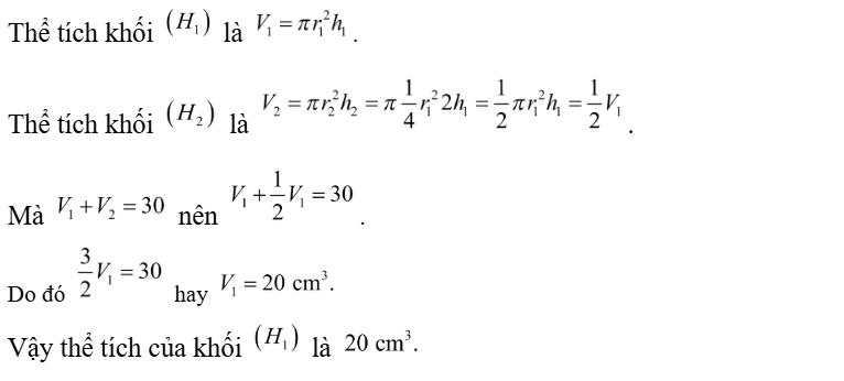
Câu 5
Câu 6
Câu 7
Câu 8
Câu 9 Khẳng định nào sau đây là sai?
Câu 10 Góc nội tiếp nhỏ hơn hoặc bằng 90 có số đo
Câu 11
Câu 12 . Số cạnh của đa giác đều có số đường chéo bằng số cạnh là
Câu 13
Câu 14
Câu 15 Để chở 15 tấn thiết bị phục vụ Lễ kỷ niệm 70 năm chiến thắng Điện Biên Phủ, một đội vận chuyển dự định sử dụng các xe tải loại nhỏ. Do thay đổi kế hoạch, đội vận chuyển quyết định chỉ sử dụng các xe tải loại lớn. Vì vậy, số xe sử dụng giảm đi hai xe so với dự định và mỗi xe tải loại lớn chở nhiều hơn mỗi xe tải loại nhỏ là 2 tấn. Biết mỗi xe tải cùng loại đều chở số tấn thiết bị bằng nhau. Hỏi đội vận chuyển sử dụng bao nhiêu xe tải loại lớn?
Câu 16
Câu 17
Câu 18
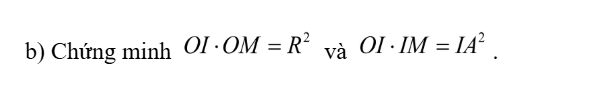
Câu 19
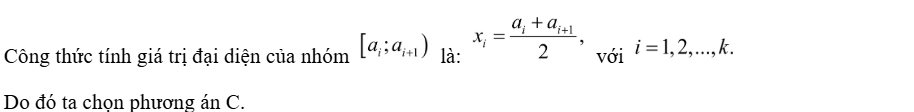
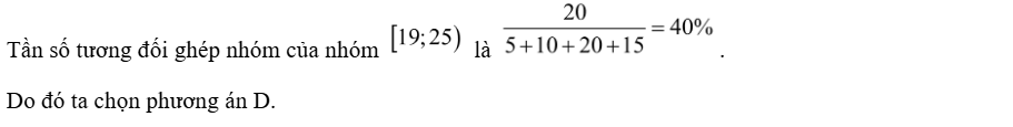
Câu 20 b) Hãy lập bảng số liệu làm 5 nhóm trong đó nhóm cuối cùng cự li là từ 4,0 đến dưới 4,5 m. Lập bảng tần số và tần số tương đối ghép nhóm.
Câu 21
Câu 22
Câu 23