Đề khảo sát chất lượng Toán 12 năm 2025 – 2026 cụm 5 – Ninh Bình (mã 6201)

Thí sinh đọc kỹ đề trước khi làm bài
Cài đặt đề thi
Thời gian làm bài

Vui lòng cài đặt đề thi trước khi làm bài

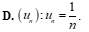
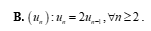
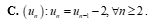
Câu 1 Dãy số nào sau đây là cấp số cộng?
Câu 2
Câu 3
Câu 4
Câu 5
Câu 6
Câu 7
Câu 8 Cho hình chóp đều S.ABCD có cạnh đáy 2a cạnh bên 4a Tính độ dài đường cao hình chóp.
Câu 9
Câu 10 Cho hình hộp ABCD.A_1B_1C_1D_1 . Khẳng định nào dưới đây sai?
Câu 11 Khoảng cách giữa hai điểm I (1;4;-3) và K (6;4;5) là
Câu 12
Câu 13
Câu 14
Câu 15
Câu 16
Câu 17
Câu 18
Câu 19
Câu 20
Câu 21 a) Nếu bơm được 30 phút thì dừng thì lượng nước trong bể chưa đầy bể.
Câu 22 b) Thể tích nước được bơm vào bể trong 5 phút đầu tiên là 90 (lít).
Câu 23 c) Thể tích nước chảy ra từ bể trong 5 phút đầu tiên là 10 (lít).
Câu 24 d) Khi nước chảy vào vừa làm đầy bể, thì đã có nhiều hơn 900 lít nước bị chảy ra ngoài (làm tròn kết quả đến hàng đơn vị).
Câu 25
Câu 26
Câu 27
Câu 28
Câu 29
Câu 30
Câu 31
Câu 32
Câu 33
Câu 34